|
Censimento
delle frane e delle inondazioni storiche in Umbria
Progetto
realizzato con il sostegno della
Fondazione della Cassa di Risparmio di Perugia |
|
Il
Progetto di Censimento delle frane e delle inondazioni storiche
in Umbria
ha avuto come obiettivo l’approfondimento delle
conoscenze storiche relative ad eventi geo-idrologici verificatisi
nel territorio umbro e la messa a punto di una metodologia per
la catalogazione e l’organizzazione dell’informazione
storica censita.
Il riconoscimento, anche istituzionale*, del ruolo che l’informazione
storica può avere nell’individuazione e nella definizione
del rischio geologico (da frana) ed idraulico (da inondazione)
rende utile anche a fini applicativi la ricerca di informazioni
storiche sulle località colpite da frane ed inondazioni,
e sull’estensione e la tipologia dei danni da loro prodotti.
Le testimonianze storiche rappresentano dati sperimentali utili
a migliorare le conoscenze sugli effetti prodotti da eventi geo-idrologici
catastrofici. In questo contesto, le testimonianze storiche permettono,
attraverso la ricostruzione di serie storiche, di analizzare i
cambiamenti nella frequenza e nell’intensità degli
eventi catastrofici, e dei danni economici ed alla popolazione
da loro prodotti.
Il censimento degli eventi storici di frana e di inondazione
rappresenta una fonte d’informazioni utile per una migliore definizione
delle condizioni di pericolosità e di rischio da frana e
da inondazione in Umbria. Le caratteristiche di ripetitività temporale
e spaziale tipiche degli eventi di frana e d’inondazione,
fanno ritenere che una percentuale consistente degli eventi che
potranno verificarsi in futuro si riproporranno con caratteristiche
simili a quelle di eventi verificatisi nel passato. Disporre di
una memoria storica organizzata relativa ad eventi di frana e di
inondazione storici può pertanto contribuire alla definizione
della pericolosità e del rischio geo-idrologico, può consentire
una migliore pianificazione territoriale, e può far aumentare
la consapevolezza della popolazione rispetto agli eventi geo-idrologici
ed ai lori effetti potenzialmente calamitosi.
*Si veda a questo proposito la
Legge 267 del 3 agosto 1998.
Gli
obiettivi della ricerca sono stati quelli di colmare la lacuna
esistente di informazioni storiche organizzate
relative a frane ed inondazioni in Umbria, con particolare riferimento
al periodo antecedente il 1920, e di catalogare ed organizzare
l’informazione storica censita. Tali obiettivi sono stati
conseguiti:
|
|
Acquisendo
ed organizzando nuove informazioni storiche relative
ad eventi di frana e di inondazione avvenuti in Umbria; |
|
|
Integrando
le nuove informazioni storiche acquisite con le informazioni
già disponibili nell’archivio del Censimento
delle aree italiane colpite da frane e da inondazioni
in Italia (Progetto AVI, del CNR GNDCI, http://sici.irpi.cnr.it); |
|
|
Organizzando
tutte le informazioni disponibili relative a frane
ed inondazioni in Umbria in un unico archivio digitale
ed
in un catalogo delle località colpite; e |
|
|
Realizzando
questo specifico sito web per la consultazione e la
diffusione dell’informazione storica raccolta.
Il sito è raggiungibile
all’indirizzo internet http://sici.irpi.cnr.it/umbria.htm. |
Nella ricerca storica, fondamentale è il reperimento e la
selezione critica delle fonti. Per la ricerca sono state selezionate
diverse tipologie di fonte, fra le quali fonti periodiche o monografiche,
fonti manoscritte od a stampa, e fonti edite od inedite. Le fonti
consultate sono conservate presso: (i) l’Archivio di Stato
di Perugia; (ii) l’Archivio di Stato di Terni; (iii) l’Archivio
Comunale di Todi; (iv) la Biblioteca Comunale Augusta di Perugia;
(v) l’Emeroteca Digitale della Biblioteca Comunale Augusta
di Perugia e (vi) la Biblioteca Comunale di Terni.
La Tabella n. 1 riassume il numero di informazioni relative ad
eventi di frana, d’inondazione e di altre tipologie di
evento reperite da ciascuna tipologia di fonte. Va ricordato
che la stessa fonte,
ed anche la stessa notizia, può fare riferimento a più eventi avvenuti
nello stesso luogo in tempi diversi o nello stesso periodo in
località differenti. Allo stesso modo, più fonti
ed anche più notizie possono fare riferimento ad una stessa
località colpita, o ad uno stesso evento di frana o d’inondazione.
Materiale d’archivio
La consultazione dei diversi fondi disponibili presso gli archivi
citati ha permesso di reperire un gran numero di informazioni
storiche relative a frane ed a inondazioni in Umbria. Nonostante
le difficoltà di
lettura, dovute alla grafia degli autori ed alle cattive condizioni
di conservazione di alcuni documenti, la disamina di circa quattrocento
buste contenenti alcune migliaia di carte, ha portato al reperimento
ed all’organizzazione di 1674 notizie di evento, di cui 630
relative a frane e 840 relative a fenomeni di inondazione, nel
periodo compreso tra l’anno 860 e l’anno 1991 (per
un periodo complessivo di 1102 anni). I fondi rivelatisi più ricchi
di informazioni utili alla ricerca sono stati: (i) i fondi del
Genio Civile conservati presso gli Archivi di Stato di Perugia
e di Terni (per gli anni dal 1797 al 1949), e (ii) il fondo della
Prefettura dell’Umbria, conservato presso la sede dell’Archivio
di Stato di Perugia (per gli anni dal 1860 al 1985). Dai fondi
del Genio Civile sono state reperite 205 notizie d’evento
relative ad inondazioni e 110 relative a frane, nel periodo compreso
fra il 1808 ed il 1946 (139 anni). L’analisi del fondo della
Prefettura dell’Umbria ha permesso di raccogliere 322 notizie
relative ad inondazioni e 88 notizie relative a movimenti franosi,
nel periodo compreso fra il 1829 ed il 1951 (123 anni).
Materiale bibliografico
Il materiale bibliografico consultato è rappresentato
nel suo complesso da: (i) volumi manoscritti, (ii) inediti, (iii)
periodici,
e (iv) monografie.
La lettura di dodici volumi manoscritti redatti da Giuseppe Fabretti
e risalenti al XIX secolo si è rivelata particolarmente
importante per la ricerca. Nei volumi, veri e propri diari che
raccontano vicende inerenti la vita dell’autore, sono riportate
con dovizia di particolari numerose notizie relative ad eventi
di frana e di inondazione di cui lo scrivente era stato testimone
diretto, o dei quali era venuto a conoscenza da altri leggendo
memorie, diari, testimonianze ed altre opere. Uno di questi manoscritti,
le “Memorie dei Paesi Appodiati a Deruta”, dà notizia
dell’evento più antico contenuto nel censimento; si
tratta di un’inondazione del Fiume Tevere avvenuta nel territorio
di Deruta nell’anno 860.
Per quanto concerne gli inediti, particolare rilevanza ha avuto
la lettura della Tesi di Laurea di Katia Pisco (1995), dalla
quale sono state reperite informazioni relative ad un evento
di frana
ed a 14 eventi di inondazione provocati dal Fiume Tevere e dal
Torrente Arnata, e occorsi nell’area di Todi fra il XIV
ed il XVIII secolo.
Durante la consultazione dei periodici, particolare attenzione è stata
posta all’analisi delle testate di interesse locale, rispetto
alle testate sovra-regionali o nazionali. La scelta è stata
motivata dall’esperienza maturata da altre ricerche storiche
condotte in Italia, e mirate al reperimento di informazioni storiche
sui fenomeni naturali e i loro effetti. Tali ricerche hanno dimostrato
come le notizie relative a calamità naturali, e specificatamente
quelle riguardanti frane ed inondazioni di minore intensità,
siano reperibili con maggior frequenza e dovizia di informazioni
nella cronaca locale, più interessata di quella nazionale
a riportare notizie relative ad eventi locali. Nel caso di questa
ricerca, sebbene si sia provveduto ad effettuare un’indagine
preliminare mirata ad individuare quali fra le testate pubblicate
in Umbria, ed elencate nel catalogo dei periodici della Biblioteca
Comunale Augusta di Perugia, fosse potenzialmente “più sensibile” ai
fenomeni di dissesto del territorio, la lettura sistematica di
15 testate locali (cfr. l’elenco delle fonti consultate,
pag. 275), che per altro ha richiesto tempi molto lunghi, ha
permesso di raccogliere un numero limitato di notizie. Le informazioni
raccolte dalle testate locali si sono rivelate limitate sia dal
punto di
vista quantitativo sia dal punto di vista qualitativo. Sono stati
raccolti pochi articoli con informazioni utili alla ricerca,
e dai pochi articoli raccolti sono emerse informazioni generalmente
poco significative. Questo potrebbe essere dovuto ad una errata
selezione delle testate consultate. Considerato tuttavia il fatto
che le calamità naturali erano considerate vere e proprie
punizioni divine, è improbabile che le stesse non fossero
riportate per mancanza d’interesse o d’attenzione. È più plausibile
pensare che fosse operata – in modo consapevole o meno – una
sorta di selezione (od una censura) delle informazioni da pubblicare,
privilegiando quelle connesse ad episodi di eroismo o di generosità degna
di menzione ed elogio. Ne è un esempio l’articolo
pubblicato nella Gazzetta Universale del 23 Agosto 1834, relativo
ad un evento di piena verificatosi lungo il corso del Fiume Topino
il 22 Agosto dello stesso anno, e riportato nella Figura 1.
Più fruttuose si sono rivelate le cronache, redatte a partire
dal XIV secolo, trascritte e pubblicate da studiosi diversi (fra
questi Ariodante Fabretti, Ettore Ricci, Mario Roncetti) nel corso
del XIX e del XX secolo. Dall’esame delle cronache sono emerse
molte delle notizie relative ad eventi, soprattutto d’inondazione,
antecedenti il XX secolo e che hanno provocato vittime fra la popolazione
dell’Umbria.
Per quanto riguarda il materiale a stampa, sono stati consultati
oltre 40 volumi monografici, pubblicati a partire dal XVI secolo
e fino ai giorni nostri. Si tratta di testi di storia locale,
di pubblicazioni scientifiche, di studi e saggi la cui lettura
ha
permesso di reperire diverse notizie di evento, e – fatto
importante per la ricerca – di inquadrare lo stato e l’evoluzione
dei luoghi dal punto di vista geografico e sociale, e di ricostruire
l’evoluzione temporale delle opere di regimazione e bonifica
effettuate.
|
Figura
1. Articolo tratto dalla Gazzetta Universale del
23 Agosto 1834 e relativo ad un evento di piena verificatosi
lungo il corso del Fiume Topino il 22 Agosto dello stesso
anno. |
Altro materiale
Per quanto concerne le altre fonti, particolare rilevanza ha
rivestito il CD-rom curato da Endro Martini, della Regione dell’Umbria,
e da Claudio Margottini, dell’ENEA, e relativo alle indagini
storiche effettuate per il consolidamento della Rupe di Orvieto
e del Colle di Todi. Il CD-rom rappresenta una delle poche opere
consultate specificatamente dedicata al tema oggetto della ricerca.
La fonte si è rivelata una delle più accurate e ricche
d’informazioni, grazie soprattutto alla mole di materiale
e di documenti citati, frutto in particolare dell’indagine
svolta da Adriano Ruggeri. Il CD-rom ha rappresentato una risorsa
importante sia per il numero di eventi dei quali ha fornito notizia,
soprattutto di frana, sia per l’abbondanza ed il dettaglio
delle informazioni relative ad ogni singolo dissesto.
Per quanto riguarda la zona di Orvieto, sono state inoltre consultate
copie di documenti dell’Archivio della Regione dell’Umbria
disponibili presso la sede del CNR IRPI di Perugia. Si tratta di
relazioni di sopralluogo, relazioni tecniche e verbali relativi
a movimenti franosi avvenuti nella seconda metà del XX
secolo.
Tabella
1. Fonti consultate e numero di informazioni relative
ad eventi di frana, di
inondazione e di altre tipologie
di evento raccolte da ciascuna fonte. Tra parentesi è indicato
il numero degli eventi censiti da ciascuna fonte. |
Archivio di Stato di Perugia |
Frane |
Inondazioni |
Altro |
Totale |
| Fondo del Genio Civile |
109
(86) |
199
(173) |
6
(6) |
314
(265) |
| Fondo della Prefettura dell’Umbria |
88
(61) |
322
(264) |
48
(27) |
458
(352) |
| Fondo della Delegazione Apostolica |
- |
48
(46) |
- |
48
(46) |
| Fondo dell’Archivio Storico
del Comune di Perugia |
17
(12) |
5
(5) |
1
(1) |
23
(18) |
| Fondo dell’Ingegnere Capo della
Delegazione di Spoleto e Rieti |
2
(2) |
6
(6) |
- |
8
(8) |
| Totale |
216
(161) |
580
(494) |
55
(34) |
|
| |
|
|
|
|
Archivio di Stato di Terni |
Frane
|
Inondazioni
|
Altro
|
Totale
|
| Fondo del Genio Civile |
1 (1) |
6 (6) |
- |
7 (7) |
| Fondo dell’Archivio Storico del Comune di Terni,
1° vers. |
2 (2) |
30 (16) |
- |
32 (18) |
| Fondo dell’Archivio Storico del Comune di Terni,
2° vers. |
20 (14) |
52 (33) |
5 (4) |
77 (51) |
| Totale |
23 (17) |
88 (55) |
5 (4) |
|
| |
|
|
|
|
Archivio
Storico del Comune di Todi
|
Frane
|
Inondazioni
|
Altro
|
Totale
|
| Fondo dell’Archivio
Storico del Comune di Todi |
30 (26) |
10 (10) |
8 (8) |
48 (44) |
| |
|
|
|
|
Altre
fonti
|
Frane
|
Inondazioni
|
Altro
|
Totale
|
| Manoscritti |
4 (4) |
52
(48) |
1
(1) |
57
(43) |
| Tesi
di laurea inedita |
1 (1) |
14
(14) |
- |
15
(15) |
| Monografie |
11 (11) |
59
(59) |
5
(5) |
75
(75) |
| Periodici |
18 (18) |
16
(16) |
- |
34
(34) |
| Cronache |
1 (1) |
11
(11) |
5
(5) |
17
(17) |
| CD-Rom edito da ENEA e Regione dell’Umbria |
315 (315) |
10
(10) |
48
(48) |
373
(373) |
| Documentazione CNR IRPI, Perugia |
11 (11) |
- |
30
(15) |
41
(41) |
| Totale |
361 (316) |
162
(158) |
89
(74) |
- |
| |
|
|
|
|
Tutte
le
fonti
|
Frane
|
Inondazioni
|
Altro
|
Totale
|
| Totale |
630 (520) |
840 (717) |
157 (120) |
1627
(1357) |
Il reperimento e l’organizzazione dell’informazione
storica ha costituito la parte più impegnativa della
ricerca, e quella che ha richiesto i tempi più lunghi.
In questa fase, la maggior difficoltà è stata
quella di selezionare i documenti rilevanti fra tutti quelli
conservati presso gli archivi. Di preferenza la selezione della
documentazione è avvenuta attraverso la consultazione
degli inventari esistenti per ciascun fondo. Non tutti i fondi
tra quelli consultati dispongono però di un inventario
dettagliato. Non sempre quindi si è potuta scegliere
la documentazione da esaminare. Quando ciò non è stato
possibile, tutto il materiale del fondo è stato consultato,
senza distinzione. Ciò ha richiesto tempi lunghi e non
sempre la scelta si è dimostrata vantaggiosa.
Oltre
alle problematiche inerenti la selezione delle fonti, durante
la lettura dei documenti la grafia e le correzioni presenti
nelle carte, in massima parte minute, hanno reso difficile
la loro comprensione. Alcuni documenti consultati non erano
firmati o datati. Ad altri mancavano mappe originariamente
allegate. Tutto ciò ha complicato l’interpretazione
delle fonti, e spesso ha impedito la corretta determinazione
della
data, della localizzazione o della tipologia dell’evento.
In
linea di massima, anche per facilitare l’interpretazione,
si è deciso di acquisire copia di tutto il materiale
documentale rilevante ai fini della ricerca reperito presso
i diversi fondi. Dove possibile, l’intero documento è stato
fotocopiato o fotografato e successivamente stampato. In alternativa,
le parti più interessanti di ciascun documento sono
state trascritte fedelmente.
Per organizzare e catalogare le
notizie censite si è adottata una suddivisione geografica
e temporale. Le notizie sono state raccolte per comune, ed
all’interno di uno stesso comune sono state ordinate
per data o periodo. Ciò ha, tra l’altro, permesso
di individuare ed unire le notizie relative allo stesso evento
provenienti da diverse fonti.
A partire dall’archivio
dei documenti cartacei si è quindi provveduto a compilare
un archivio digitale. In tale archivio sono state raccolte
tutte le notizie relative ad eventi di frana, d’inondazione
e di altre tipologie di evento ricavate dalla lettura delle
fonti, selezionate in base a criteri di attendibilità,
di certezza nella localizzazione della località colpita,
e definizione della tipologia di evento. Quando persistevano
dubbi, o quando una notizia forniva informazioni in contrasto
con quelle desunte da altre fonti, se ne è controllata
la veridicità o la credibilità. Le notizie incerte
od ottenute da fonti ritenute inaffidabili non sono state
incluse nell’archivio digitale.
L’archivio digitale
degli eventi storici contiene 1378 record, di cui 507 relativi
ad
eventi di frana, 681 ad eventi di inondazione, 70 a segnalazioni
di dissesto in atto, e 120 ad altre tipologie di evento. Fra
queste ultime si an-noverano le piogge intense, i crolli di
cavità scavate nel tufo ad Orvieto, i dissesti degli
antichi condotti di scolo o di raccolta delle acque a Todi,
i cedimenti strutturali, e le frane avvenute in cava od in
cantiere. Gli eventi di frana censiti si sono verificati tra
il 1139 ed il 1991 (307 eventi fra il 1139 ed il 1900, e 200
eventi fra il 1901 ed il 1990), e gli eventi di inondazione
fra l’anno 860 ed il 1951 (319 eventi fra l’860
ed il 1900, e 362 eventi fra il 1901 ed il 1951). Le segnalazioni
di dissesto in atto sono tutte relative al comune di Todi,
ottenute dalla lettura di relazioni di sopralluogo effettuate
tra il Settecento e l’Ottocento apprezzati periti ed
architetti del tempo. Le relazioni riguardano l’evoluzione
di alcuni movimenti franosi del colle, e descrivono le cause
ed i “rimedi” proposti (e in parte realizzati)
per mitigare gli effetti dei movimenti franosi.
La Tabella
n. 2 riassume, per differenti periodi, il numero di eventi
di
frana, d’inondazione e connessi ad altre tipologie di
evento contenuti nell’archivio storico.
Tabella
2. Numero di eventi di frana, di inondazione
e dovuti ad altre tipologie di evento censiti nell’archivio
digitale.
|
Periodo
|
Frane
|
| 1139 – 1900
(762 anni) |
307
(60,5%)
|
| 1901 – 1991
(91 anni) |
200
(39,5%)
|
| 1139 – 1991
(853 anni) |
507
|
| |
|
Periodo
|
Inondazioni
|
| 860 – 1900
(1041 anni) |
319
(46,8%)
|
| 1901 – 1951
(51 anni) |
362
(53,2%)
|
| 860 – 1951
(1092 anni) |
681
|
| |
|
Periodo
|
Altro
|
| 1432 – 1900
(469 anni) |
62
(51,7%)
|
| 1901 – 1993
(93 anni) |
58
(48,3%)
|
| 1432 – 1993
(562 anni) |
120
|
La Tabella n.
3 elenca il numero di eventi di frana e d’inondazione
censiti in Umbria, nel periodo fra l’860 ed il 1991.
Per la provincia di Perugia sono state reperite informazioni
relative a 300 eventi di frana ed a 579 eventi d’inondazione.
Tabella
3. Numero di eventi di frana e d’inondazione censiti nei comuni dell’Umbria
nel periodo compreso fra l’860 ed il 1991.
|
Comune |
Frane |
Inondazioni |
Comune |
Frane |
Inondazioni |
| Acquasparta |
- |
- |
Montefalco |
- |
4 |
| Allerona |
- |
- |
Monte
Castello di Vibio |
- |
3 |
| Alviano |
- |
- |
Monte
S.Maria Tiberina |
- |
- |
| Amelia |
- |
- |
Montecastrilli |
- |
- |
| Arrone |
- |
5 |
Montefranco |
- |
3 |
| Assisi |
9 |
11 |
Montegabbione |
- |
3 |
| Attigliano |
- |
- |
Monteleone
di Spoleto |
- |
1 |
| Avigliano Umbro |
2 |
- |
Monteleone
d'Orvieto |
- |
1 |
| Baschi |
1 |
- |
Montone |
- |
- |
| Bastia |
- |
7 |
Narni |
2 |
1 |
| Bettona |
- |
4 |
Nocera
Umbra |
4 |
1 |
| Bevagna |
- |
3 |
Norcia |
- |
3 |
| Calvi dell'Umbria |
- |
- |
Orvieto |
171 |
3 |
| Campello sul Clitunno |
- |
- |
Otricoli |
1 |
1 |
| Cannara |
- |
16 |
Paciano |
- |
1 |
| Cascia |
2 |
7 |
Panicale |
- |
15 |
| Castel
Giorgio |
- |
- |
Parrano |
2 |
- |
| Castel
Ritaldi |
- |
7 |
Passignano
sul Trasimeno |
1 |
- |
| Castel
Viscardo |
- |
- |
Penna
in Teverina |
- |
- |
| Castiglione
del Lago |
- |
15 |
Perugia |
33 |
47 |
| Cerreto
di Spoleto |
- |
20 |
Piegaro |
2 |
20 |
| Citerna |
- |
3 |
Pietralunga |
3 |
- |
| Città della
Pieve |
2 |
41 |
Poggiodomo |
- |
- |
| Città di
Castello |
- |
10 |
Polino |
- |
- |
| Collazzone |
4 |
7 |
Porano |
- |
- |
| Corciano |
1 |
7 |
Preci |
1 |
3 |
| Costacciaro |
- |
1 |
San
Gemini |
- |
- |
| Deruta |
5 |
54 |
San
Giustino |
- |
15 |
| Fabro |
- |
9 |
San
Venanzo |
- |
- |
| Ferentillo |
1 |
9 |
Sant'Anatolia
di Narco |
1 |
4 |
| Ficulle |
- |
3 |
Scheggia
e Pascelupo |
- |
4 |
| Foligno |
22 |
25 |
Scheggino |
- |
2 |
| Fossato
di Vico |
- |
- |
Sellano |
- |
3 |
| Fratta
Todina |
1 |
7 |
Sigillo |
- |
- |
| Giano
dell'Umbria |
- |
- |
Spello |
- |
2 |
| Giove |
- |
- |
Spoleto |
3 |
16 |
| Gualdo
Cattaneo |
- |
- |
Stroncone |
- |
- |
| Gualdo
Tadino |
1 |
4 |
Terni |
25 |
62 |
| Guardea |
1 |
1 |
Todi |
177 |
25 |
| Gubbio |
12 |
7 |
Torgiano |
- |
17 |
| Lisciano
Niccone |
1 |
26 |
Trevi |
1 |
18 |
| Lugnano
in Teverina |
- |
- |
Tuoro
sul Trasimeno |
- |
1 |
| Magione |
1 |
4 |
Umbertide |
1 |
17 |
| Marsciano |
- |
38 |
Valfabbrica |
5 |
9 |
| Massa
Martana |
- |
- |
Vallo
di Nera |
1 |
6 |
| Montecchio |
- |
- |
Valtopina |
4 |
1 |
Per la provincia di Terni sono state raccolte informazioni
relative a 206 eventi di frana e 101 eventi d’inondazione
(Figura n. 2).
Eventi
di frana
|
Eventi
di inondazione
|
|
|
|
Figura
2. Percentuale degli eventi di frana e di
inondazione censiti nella provincia di Perugia (in
grigio) e nella provincia di Terni (in bianco).
|
Per ogni evento censito, nell’archivio
digitale sono indicate informazioni relative: (i) alla località colpita,
(ii) alla data od al periodo dell’evento, (iii) alla
tipologia ed alla dinamica evolutiva dell’evento, (iv)
al meccanismo scatenante l’evento, (v) all’assetto
geologico e morfologico dell’area colpita (solo per
le frane), ed (vi) alla tipologia ed estensione del danno prodotto.
Non tutte le fonti e non tutte le notizie hanno consentito
di reperire informazioni complete. Quando ciò non è stato
possibile alcuni campi dell’archivio digitale sono rimasti
vuoti. Nella compilazione dell’archivio digitale particolare
attenzione è stata posta nel trascrivere letteralmente
le descrizioni date dalle fonti. Ad ogni località interessata
da un evento di frana o di inondazione è stato attribuito
un codice numerico univoco. Le località sono quindi
state cartografate come punti a scala 1:25.000 utilizzando
le Tavolette dell’IGMI.
Le
coordinate dei punti sono state successivamente acquisite in
formato digitale.
In
totale sono state cartografate 217 località interessate
da frane e 361 località colpite da inondazioni. A titolo
di esempio le Figure n. 3 e n. 4 mostrano la localizzazione geografica
delle località colpite da frana rispettivamente negli
abitati di Orvieto e Todi. In entrambe le carte, la topografia
di riferimento è quella delle Tavolette IGMI utilizzate
per la localizzazione dei siti colpiti.
 |
Figura
3. Località colpite
da frane ad Orvieto e nelle aree limitrofe nel periodo
compreso
fra il 1139
ed il 1990. |
 |
Figura
4. Località colpite
da frane a Todi e nelle aree limitrofe nel periodo compreso
fra il 1150 ed il 1991.
|
La localizzazione geografica
delle località colpite da frana o da inondazione si è rivelata
spesso difficile e non priva di incertezze. Le difficoltà sono
state diverse. Alcuni nomi di luogo citati dalle fonti storiche
non sono riportati nella cartografia moderna, perché in
disuso o dimenticati, o perché sono stati modificati parzialmente
o completamente nel corso del tempo. Per tentare di risolvere
il problema si è fatto ricorso a cartografie di maggior
dettaglio, quali le CTR della Regione dell’Umbria a scala
1:10.000 e alcune mappe catastali a scala 1:2.000. Utili si sono
rivelati i saggi di toponomastica, che tuttavia sono disponibili
solo per poche località umbre. Nelle fonti si fa a volte
riferimento alle località colpite utilizzando locuzioni
come “poco lontano da” o “prossimo a” che
non permettono un’esatta – ed a volte neppure un’approssimata – collocazione
geografica dell’evento. Altre fonti, come ad esempio le
relazioni mensili dell’Ingegnere Capo del Genio Civile
relative alla manutenzione di strade nazionali e provinciali,
forniscono informazioni geografiche precise ma non facilmente
localizzabili. Nei documenti si fa riferimento ad un chilometraggio
stradale che non corrisponde a quello attuale. In alternativa
le segnalazioni dei danni sono riferite al “Cantone”,
ossia ad un tratto di strada assegnato alla sorveglianza di un
cantoniere. Tali informazioni, pur essendo di notevole precisione
geografica, sono difficilmente utilizzabili in mancanza di una
documentazione che riporti il tracciato stradale del tempo o
la suddivisione e numerazione dei cantoni.
Per tener conto delle
imprecisioni connesse alla localizzazione geografica delle località colpite,
ad ogni località è stato attribuito un livello
d’incertezza nel posizionamento geografico.
Il Progetto AVI (Aree Vulnerate Italiane), commissionato
nel 1989 dall’allora Ministro per il Coordinamento della Protezione
Civile al Gruppo Nazionale per la Difesa dalle Catastrofi Idrogeologiche
del CNR, ha avuto come obiettivo la realizzazione di un censimento
delle aree storicamente colpite da eventi di inondazione e di frana
in Italia (Guzzetti et alii, 1994). Il censimento, condotto a livello
nazionale, ha riguardato inizialmente il periodo 1918-1991, ed è consistito
nella raccolta di notizie inerenti frane ed inondazioni reperite
attraverso la sistematica consultazione di varie fonti, fra le
quali quotidiani locali e nazionali, elaborati tecnico-scientifici,
rapporti d’evento ed interviste ad esperti e tecnici del
settore. Durante successive fasi di verifica ed aggiornamento il
periodo coperto dal censimento AVI è stato ampliato al 2001.
I dati storici raccolti sono stati organizzati in un archivio cartaceo
ed in un corrispondente archivio digitale che a tutt’oggi
rappresentano la più ampia fonte di informazioni relative
ad eventi geo-idrologici calamitosi occorsi in Italia nel corso
del XX secolo.
A partire dal 1992, l’informazione censita nell’ambito
del Progetto AVI è stata resa disponibile all’indirizzo
Internet http://sici.irpi.cnr.it (Guzzetti e Tonelli, 2004). Nel
1996, Guzzetti et alii hanno pubblicato la prima edizione della “Carta
delle aree colpite da movimenti franosi e da inondazioni” in
Italia. La carta è stata aggiornata con nuove informazioni
nel 1998 da Reichenbach et alii. Nel corso dello stesso anno, Cardinali
et alii hanno pubblicato il primo “Catalogo delle informazioni
sulle località italiane colpite da frane e da inondazioni”.
Nel 2003, basandosi sull’archivio del Progetto AVI e su nuove
informazioni raccolte, Salvati et alii hanno pubblicato la “Carta
delle frane e delle inondazioni che hanno prodotto danni alla popolazione” in
Italia.
In Umbria, il censimento realizzato dal Progetto AVI ha permesso
di raccogliere 1482 notizie relative ad eventi di frana in 1286
località, e 1257 notizie relative ad inondazioni in 525
località, la maggior parte delle quali nel periodo compreso
fra il 1920 ed il 2001.
| Il
catalogo delle frane e delle inondazioni storiche in
Umbria: |
|
Le informazioni storiche raccolte nell’ambito della presente
ricerca ed organizzate nell’archivio storico digitale sono
state confrontate con le informazioni censite dal Progetto AVI
in Umbria. Il confronto è avvenuto a livello di evento,
considerando le località colpite e le date od i periodi
d’occorrenza dei singoli eventi. L’operazione di confronto
ed unione non è stata semplice. I due archivi (storico e
del Progetto AVI) sono stati realizzati in epoche e contesti diversi,
e con risorse umane e finanziarie differenti. La procedura utilizzata
per l’individuazione e la mappatura delle località colpite è consistita
nel verificare che una località fosse già presente
nel catalogo prodotto nell’ambito del Progetto AVI, nel qual
caso alla località sono state attribuite le coordinate geografiche
ed il codice identificativo utilizzato nel catalogo AVI. Qualora
la località non fosse già elencata nel catalogo
AVI, alla stessa sono state assegnate nuove coordinate geografiche
ed
un nuovo codice identificativo.
Dopo aver individuato ed eliminato tutte le ridondanze, gli
eventi censiti sono stati raccolti nel nuovo “Catalogo delle frane
e delle inondazioni storiche in Umbria”. Il catalogo elenca
1983 eventi di frana occorsi in 1327 località dal 1139 al
2001, e 1956 eventi di inondazione occorsi in 972 località dall’anno
860 al 2001 (Figura n. 5).
1327 località colpite da frane |
972
località colpite da
inondazioni |
|
|
Figura
5. Percentuale delle località colpite da
frane e da inondazioni censite nell’ambito dalla
ricerca storica (in bianco) e nell’ambito Progetto
AVI (in grigio) in Umbria, nel periodo compreso fra l’anno
860 ed il 2001. |
Il
nuovo catalogo sostituisce per l’Umbria il “Catalogo
delle informazioni sulle località italiane colpite da frane
e da inondazioni” redatto nell’ambito del
Progetto AVI (Cardinali et alii, 1998; Reichenbach et
alii, 1998).
Distribuzione geografica delle località colpite
da frane ed inondazioni
Frane ed inondazioni sono fenomeni geomorfologici
ed idrologici comuni in Umbria. Le Figure n. 6 e n. 7
mostrano
la distribuzione geografica e l’abbondanza delle
località colpite, rispettivamente da frane (Figura
n. 6) e da inondazioni (Figura n. 7), nel periodo 860-2001.
Nelle due Figure sono riportate la localizzazione, la
distribuzione spaziale e l’abbondanza sia delle
località censite nell’ambito del Progetto
AVI (in grigio) sia di quelle individuate nell’ambito
del nuovo censimento storico (in nero). L’analisi
delle due mappe rivela come le fonti storiche abbiano
fornito informazioni su di un numero ridotto di località colpite
rispetto a quelle individuate dal censimento AVI. Ciò è in
gran parte attribuibile alla minore completezza del censimento
storico, ma anche in qualche misura all’incremento
nel numero degli elementi vulnerabili a partire in particolare
dalla metà del XX secolo. La Figura n. 6 mostra
un raggruppamento delle nuove località colpite
da frana in corrispondenza di centri abitati maggiori,
ed in particolare a Perugia, Orvieto, Todi e Terni. Attribuiamo
la concentrazione di località colpite da frane
(e di notizie d’eventi di frana) in queste quattro
aree alla tipologia ed alla collocazione delle fonti.
|
|
Figura
6. Località colpite da frane storiche
in Umbria. Pallini neri: località censite
nell’ambito della presente ricerca storica
e relative al periodo 1139 - 1991. Pallini grigi:
località censite nell’ambito del Progetto
AVI e relative al periodo 1920 - 2001.
|
La Figura n. 7 mostra come la distribuzione e l’abbondanza
delle località colpite da inondazioni censite
dall’indagine storica riflettano bene la distribuzione
e l’abbondanza delle località censite nell’ambito
del Progetto AVI. La maggior parte delle nuove località individuate
si trova lungo il Fiume Tevere ed i suoi principali affluenti
in Umbria centrale (Fiumi Chiascio, Topino e Nestore),
e lungo il Fiume Nera, in Umbria meridionale. La maggiore
distribuzione geografica delle località colpite
da inondazioni storiche rispetto a quelle colpite da
frane evidenzia una maggiore attenzione delle fonti per
i fenomeni d’inondazione, sicuramente più evidenti
dal punto di vista geografico.
|
Figura
7. Località colpite
da inondazioni storiche in Umbria. Triangoli neri: località censite
nell’ambito della presente ricerca storica e relative
al periodo 860 - 1951. Triangoli grigi, località censite
nell’ambito del Progetto AVI e relative al periodo
1920 - 2001. |
Sulla
base delle informazioni storiche disponibili è possibile
affermare che la maggior parte del territorio dell’Umbria è stato
soggetto a fenomeni di dissesto geo-idrologico. Tutti
i comuni della Regione, con la sola eccezione del Comune
di Montecchio in provincia di Terni e del Comune di
Sigillo in provincia di Perugia, sono stati interessati
da fenomeni di frana o d’inondazione (Tabella n.
4).
La lettura della Tabella n. 4 rivela come siano sei i
comuni per i quali si hanno oltre 100 notizie relative
ad eventi di frana (Foligno, Gubbio, Orvieto, Perugia,
Terni e Todi), e cinque i comuni per i quali si hanno
oltre 100 notizie relative ad eventi di inondazione (Deruta,
Mar-sciano, Perugia, Spoleto e Terni).
Tabella
4. Numero di eventi di frana e d’inondazione censiti
nei comuni dell’Umbria nel periodo compreso fra
l’860 e il 2001.
|
Comune
|
Frane
|
Inondazioni
|
Comune
|
Frane
|
Inondazioni
|
| Acquasparta |
9 |
5 |
Montefalco |
8 |
22 |
| Allerona |
17 |
6 |
Monte
Castello di Vibio |
7 |
5 |
| Alviano |
15 |
12 |
Monte
S.Maria Tiberina |
14 |
1 |
| Amelia |
24 |
6 |
Montecastrilli |
7 |
- |
| Arrone |
8 |
24 |
Montefranco |
8 |
- |
| Assisi |
36 |
23 |
Montegabbione |
3 |
3 |
| Attigliano |
1 |
20 |
Monteleone
di Spoleto |
1 |
3 |
| Avigliano
Umbro |
7 |
- |
Monteleone
d'Orvieto |
2 |
4 |
| Baschi |
14 |
5 |
Montone |
20 |
6 |
| Bastia |
2 |
27 |
Narni |
53 |
35 |
| Bettona |
6 |
8 |
Nocera
Umbra |
40 |
18 |
| Bevagna |
7 |
9 |
Norcia |
10 |
8 |
| Calvi
dell'Umbria |
8 |
- |
Orvieto |
208 |
41 |
| Campello
sul Clitunno |
1 |
7 |
Otricoli |
9 |
24 |
| Cannara |
2 |
26 |
Paciano |
3 |
1 |
| Cascia |
9 |
15 |
Panicale |
3 |
29 |
| Castel
Giorgio |
1 |
- |
Parrano |
4 |
1 |
| Castel
Ritaldi |
6 |
17 |
Passignano
sul Trasimeno |
7 |
- |
| Castel
Viscardo |
8 |
1 |
Penna
in Teverina |
1 |
1 |
| Castiglione
del Lago |
4 |
19 |
Perugia |
149 |
101 |
| Cerreto
di Spoleto |
28 |
40 |
Piegaro |
7 |
27 |
| Citerna |
5 |
18 |
Pietralunga |
31 |
2 |
| Città della
Pieve |
12 |
67 |
Poggiodomo |
4 |
- |
| Città di
Castello |
53 |
89 |
Polino |
2 |
1 |
| Collazzone |
30 |
56 |
Porano |
1 |
- |
| Corciano |
10 |
18 |
Preci |
10 |
3 |
| Costacciaro |
7 |
1 |
San
Gemini |
10 |
- |
| Deruta |
9 |
141 |
San
Giustino |
6 |
32 |
| Fabro |
7 |
21 |
San
Venanzo |
8 |
- |
| Ferentillo |
10 |
35 |
Sant'Anatolia
di Narco |
9 |
14 |
| Ficulle |
7 |
6 |
Scheggia
e Pascelupo |
24 |
4 |
| Foligno |
107 |
65 |
Scheggino |
7 |
12 |
| Fossato
di Vico |
5 |
- |
Sellano |
7 |
3 |
| Fratta
Todina |
2 |
16 |
Sigillo |
- |
- |
| Giano
dell'Umbria |
5 |
- |
Spello |
6 |
3 |
| Giove |
2 |
2 |
Spoleto |
50 |
101 |
| Gualdo
Cattaneo |
21 |
5 |
Stroncone |
21 |
6 |
| Gualdo
Tadino |
34 |
13 |
Terni |
114 |
112 |
| Guardea |
7 |
2 |
Todi |
236 |
79 |
| Gubbio |
106 |
14 |
Torgiano |
8 |
74 |
| Lisciano
Niccone |
6 |
26 |
Trevi |
3 |
83 |
| Lugnano
in Teverina |
3 |
2 |
Tuoro
sul Trasimeno |
3 |
3 |
| Magione |
14 |
9 |
Umbertide |
24 |
43 |
| Marsciano |
13 |
112 |
Valfabbrica |
26 |
11 |
| Massa
Martana |
9 |
4 |
Vallo
di Nera |
23 |
10 |
| Montecchio |
- |
- |
Valtopina |
15 |
4 |
Distribuzione temporale degli eventi di frana e di inondazione
Il Catalogo delle frane
e delle inondazioni storiche in Umbria consente un’analisi
della distribuzione temporale degli eventi censiti. L’analisi
mostra un chiaro aumento nel numero degli eventi di frana (Figura
n. 8) e d’inondazione
(Figura n. 9) con l’andare del tempo. L’incremento
ha inizio nel corso del XVIII secolo, è più netto
a partire dalla metà del XIX secolo, ed è ancor
più evidente nel corso del XX secolo, ed in particolare
a partire dal 1950. Analizzando l’andamento temporale
del numero degli eventi si evidenzia come nel XVIII secolo siano
ben 50 gli anni per i quali non si hanno notizie di frana o di
inondazioni, la maggior parte dei quali prima del 1750. Nel XIX
secolo sono solo 17 gli anni privi di notizie di evento, anni
che si riducono a 7 nel XX secolo, tutti prima del 1922. L’aumento
nel numero degli eventi censiti è dovuto in gran parte
alla maggiore completezza dell’archivio ed in minor misura,
come già detto, all’aumento del numero degli elementi
vulnerabili. L’aumento degli elementi vulnerabili è legato
all’incremento della popolazione, che è passata
in Umbria da 442.000 abitanti nel 1861 ad oltre 825.000 abitanti
nel 2001, ed al conseguente incremento nel numero e nell’estensione
delle aree urbanizzate e delle infrastrutture. La completezza
dell’archivio è legata alle fonti utilizzate ed
al fatto che quelle più recenti riportano un maggior numero
di informazioni rispetto a quelle più antiche. Le fonti
selezionate per la ricerca storica, ed in particolare i fondi
archivistici, coprono in prevalenza il periodo 1700 – 1900,
periodo durante il quale si è evidenziato un crescente
interesse, in particolare degli amministratori locali, a segnalare
i “guasti” verificatisi a seguito di piogge intense
o prolungate, di frane e di inondazioni. Nel Novecento, e più chiaramente
a partire dalla seconda metà del secolo, anche le fonti
periodiche, ed in particolare i quotidiani regionali, riportano
numerose informazioni di eventi di dissesto, tanto da diventare
la più importante ed a volte anche la più dettagliata
fonte d’informazione sugli eventi di frana e d’inondazione
occorsi in Umbria.
|
|
Figura
8. Distribuzione temporale degli eventi
di frana in Umbria. Gli istogrammi mostrano il numero
annuale di eventi di frana: (A) nel periodo 1130 – 1900,
(B) nel periodo 1700 – 1900, e (C) nel periodo
1901 – 2001.
|
|
|
Figura
9. Distribuzione temporale degli eventi
di inondazione in Umbria. Gli istogrammi mostrano
il numero annuale degli eventi di inondazione: (A)
nel periodo 860 - 1900, (B) nel periodo 1700 - 1900,
e (C) nel periodo 1901 - 2001.
|
Alcuni
dei picchi maggiori negli istogrammi riportati nelle Figure
n. 8 e n. 9 sono il risultato di eventi
geo-idrologici particolarmente estesi ed intensi, connessi a
situazioni meteorologiche particolarmente severe che hanno prodotto
frane ed inondazioni diffuse. Ne sono esempi gli eventi del settembre
1836 e dell’autunno 1937, che hanno provocato estese inondazioni.
Il
confronto fra le distribuzioni temporali del numero degli eventi
di frana (Figura n. 8) e d’inondazione (Figura n. 9) mostra
come spesso non vi sia congruenza fra il numero delle notizie
censite relative alle frane e quello relativo alle inondazioni.
In generale, a seguito di eventi particolarmente intensi, le
notizie relative ad inondazioni sono più numerose rispetto
a quelle relative alle frane. Ad esempio, a seguito dell’evento
del settembre 1836, le fonti riportano notizie relative a 32
località colpite da inondazioni ed a solo una località colpita
da frana.
Vista
l’estensione e la severità dell’evento,
il numero delle località colpite da frane è stato
certamente superiore. Anche a seguito dell’evento dell’autunno
del 1937, probabilmente la maggior piena storica del Fiume Tevere
in Umbria, le notizie di inondazione superano di gran lunga quelle
di frana. Le notizie di evento relative a inondazioni sono 214,
mentre quelle relative a frane sono solo 25. Attraverso l’analisi
di fotografie aeree riprese nel 1941, è stato possibile
accertare che le frane erano invece numerose ed estese.
La discrepanza fra il numero delle notizie di inondazione e di
frana è dovuta a varie cause, fra le quali: (i) una maggior
evidenza dei fenomeni d’inondazione (più estesi
geograficamente) rispetto a quelli di frana (più puntuali
e localizzati spesso in aree remote), (ii) un maggior interesse
per i danni prodotti dalle inondazioni rispetto a quelli prodotti
dalle frane, fatto questo che rivela una diversità nella
tipologia dei danni, ed (iii) una viziosità delle fonti,
maggiormente interessate a riportare danni arrecati alle strutture
di pertinenza di Enti pubblici.
Completezza del catalogo
Definire la completezza di un catalogo o di una serie
storica non è impresa facile. La mancanza di informazioni
relative ad eventi di frana od inondazione in un determinato
periodo
storico può essere in effetti dovuta a varie cause, fra
le quali la mancanza di notizie, una errata selezione delle fonti,
o una reale scarsità o mancanza di eventi naturali, a
sua volta dovuta ad esempio a condizioni climatiche, fisiografiche
o ambientali differenti. Allo stesso modo, l’abbondanza
di informazioni relative ad eventi geo-idrologici può essere
dovuta sia alla disponibilità ed alla ricchezza di una
particolare fonte storica, sia a condizioni climatiche od ambientali
specifiche o temporanee. Un modo semplice per studiare, e stimare
anche quantitativamente, il grado di completezza del catalogo
storico delle località colpite da frane e da inondazioni
in Umbria consiste nel preparare e nell’analizzare curve
cumulate dell’andamento nel tempo del numero delle località colpite.
La Figura n. 10 riporta, per il periodo 1700 – 2000, il
numero cumulato degli eventi di frana (Figura n. 10A) e di inondazione
(Figura n. 10B) in Umbria.
|
|
Figura
10. Numero cumulato di eventi di frana (A)
e di inondazione (B) in Umbria nel periodo
1700 – 2000.
|
Nei
grafici, la pendenza della curva indica la frequenza degli eventi.
Un cambiamento di pendenza rivela
un mu-tamento nella
frequenza degli eventi censiti. Le curve mostrano un primo aumento
significativo nella frequenza degli eventi a partire dalla fine
del XVIII secolo, ed un secondo e più evidente incremento
a partire dal 1950 circa. L’aumento della frequenza negli
eventi censiti va attribuito soprattutto alla disponibilità,
al numero ed alla ricchezza delle fonti utilizzate, che hanno
influenzato la completezza del catalogo. Dopo il 1950, la frequenza
degli eventi di inondazione resta costante (Figura n. 10B),
mentre quella degli eventi di frana continua a crescere (Figura
n. 10A). Ciò può forse essere ricondotto da un
lato ad una maggiore completezza delle fonti (in gran parte testate
giornalistiche locali) e dall’altra dall’aumento
degli elementi esposti al rischio da frana.
Ripetitività degli
eventi
La concomitante disponibilità di informazioni
geografiche e temporali per la maggior parte degli eventi censiti
nel catalogo
permette di studiarne la ripetitività spaziale. La Figura
n. 11 mostra il numero di località colpite da eventi di
frana (Figura n. 11A) e di inondazione (Figura n. 11B), ordinate
per numero di eventi di cui si ha notizia in ogni località.
|
|
Figura
11. Numero di località colpite da
eventi di frana (A) e di inondazione (B) in Umbria
nel periodo 860 – 2001. Le località sono
ordinate in base al numero di eventi censiti, da
alto (a sinistra) a basso (a destra).
|
Gli istogrammi confermano la diffusione
geografica degli eventi di frana e di inondazione. In Umbria,
in base alle notizie storiche
reperite, vi sono almeno 1531 località colpite una o più volte
da frane, ed almeno 1071 località colpite una o più volte
da inondazioni. Ciò corrisponde ad una densità di
località colpite pari a circa 0,18 siti a chilometro quadrato
per le frane ed a circa 0,13 siti a chilometro quadrato per le
inondazioni. Gli istogrammi rivelano come la maggior parte delle
località interessate da frane e da inondazioni sia stata
colpita occasionalmente, ossia solo una o due volte, e che il
numero di località colpite ripetutamente è basso.
Nel periodo 1139-2001 (863 anni), vi sono state 9 località colpite
oltre 10 volte da frane, e nel periodo 860-2001 (1142 anni)
vi sono state 17 località colpite almeno 10 volte da inondazioni.
Gli istogrammi confermano anche la maggiore ripetitività spaziale
degli eventi di inondazione rispetto a quelli di frana. Ciò è legato
a ragioni morfologiche: le inondazioni avvengono prevalentemente
lungo il reticolo idrografico, mentre le frane possono interessare
tutto il territorio. La Figura n. 12 è simile alla precedente,
e riporta il numero delle località colpite da eventi
di frana nei comuni di Todi (Figura n. 12A) e di Orvieto (Figura
n. 12B), ordinate in base al numero di eventi occorsi in ogni
località.
|
|
Figura
12. Numero di località colpite da
eventi di frana: (A) nel comune di Todi nel periodo
1150 - 2001, (B) nel comune di Orvieto nel periodo
1139 - 2001. Le località sono ordinate in
base al numero di eventi censiti da alto (a sinistra)
a basso (a destra).
|
Gli
istogrammi confermano la notevole distribuzione spaziale degli
eventi di frana già osservata a scala re-gionale.
I due comuni presentano un gran numero di località colpite
da eventi franosi (118 località a Todi dal 1150 al 2001
(852 anni), e 137 località ad Orvieto dal 1139 al 2001
(863 anni)), ma il numero di località colpite ripetutamente è relativamente
basso (9 località a Todi e 11 località ad Orvieto
colpite 5 o più volte). A parità di altre condizioni,
e non considerando eventuali interventi di sistemazione recenti,
tali località sono da considerarsi potenzialmente a maggior
rischio da frana.
Analisi stagionale
Per la maggior parte degli eventi di frana e di inondazione
elencati nel catalogo storico sono disponibili informazioni
sul giorno, o quantomeno sul mese, d’occorrenza. Ciò consente
un’analisi delle condizioni stagionali più propense
al verificarsi di eventi di frana e di inondazione in Umbria.
Per
quanto riguarda le frane, l’istogramma relativo al
periodo antecedente il 1900 (Figura n. 13A) presenta due massimi
sostanzialmente
equivalenti nella frequenza degli eventi di dissesto: il primo
ad ottobre-novembre ed il secondo a marzo. Interessante è il
dato di luglio, dovuto in prevalenza ad eventi verificatisi a
Todi ed Orvieto. Nel periodo successivo al 1900 (Figure n. 13C),
la frequenza degli eventi di frana presenta sempre una distribuzione
bimodale, ma più distribuita nel tempo; la frequenza massima
si ha a febbraio, ed un periodo di massimo relativo è presente
a dicembre.
Per quanto riguarda le inondazioni, la distribuzione
degli eventi nel periodo antecedente il 1900 (Figura n. 13B)
mostra un solo massimo in corrispondenza del mese di settembre,
con una coda significativa nel periodo ottobre-dicembre. La
frequenza mensile degli eventi d’inondazione cambia dopo
il 1900 (Figura 13D). In questo periodo vi sono due massimi
nella frequenza
degli eventi di inondazione: il primo fra ottobre e dicembre,
ed il secondo a febbraio. Interessante è la scarsità di
eventi di inondazione a gennaio, sia nel periodo 890-1899 che
nel periodo 1900-2001.
|
|
Figura
13. Gli istogrammi mostrano la distribuzione
mensile del numero degli eventi di frana (A e C)
e degli eventi di inondazione (B e D) in Umbria.
Gli istogrammi (A) e (B) si riferiscono a periodi
antecedenti il 1900. Gli istogrammi (C) e (D) si
riferiscono al periodo 1900-2001.
|
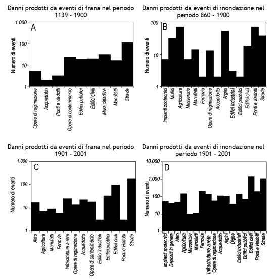
Tipologie di danno
Frane ed inondazioni possono causare danni
diretti ed indiretti, localizzati od estesi, ad una grande
varietà di
elementi a rischio, fra i quali la popolazione, gli edifici pubblici
e privati, le infrastrutture di trasporto ed a rete, l’agricoltura
ed il patrimonio forestale. La Figura n. 14 riassume le più comuni
tipologie di danno ai beni in Umbria. Nell’analizzare le
informazioni di danno - ed in particolare quelle storiche -
vanno tenuti presenti il contesto e la struttura sociale ed economica
al tempo in cui si sono verificati gli eventi calamitosi. Il
numero di notizie di danno e l’intensità del danno
riportato dipendono, infatti, dall’importanza (dal valore)
che le singole persone, la comunità e l’economia
danno ai beni colpiti. Il valore dei beni a rischio è cambiato
sostanzialmente nel tempo, in funzione delle mutate condizioni
sociali, produttive ed economiche. Le cronache più antiche,
che pur descrivono eventi di inondazione arealmente molto
estesi, riportano come particolarmente significative le perdite di
terreno, bestiame e masserizie, e sono meno attente nel riportare
i danni (certamente subiti) alle abitazioni od alla popolazione.
Similmente, i danni più rilevanti prodotti dalle frane
e riportati nell’archivio sono quelli alle strade ed ai
terreni, considerati più importanti delle stesse abitazioni.
|
|
Figura
14. Tipologie di danno causate da eventi
di frana (A) e (C), e da inondazione (B) e (D) in
Umbria. Gli istogrammi (A) e (B) si riferiscono a
periodi antecedenti il 1900. Gli istogrammi (C) e
(D) si riferiscono al periodo 1900-2001.
|
La
Figura n. 14 consente di valutare i cambiamenti nel tempo
delle tipologie e dell’abbondanza dei danni subiti. Nel
periodo antecedente il 1900 le frane hanno prodotto danni in
particolare alle infrastrutture di trasporto (strade, ponti,
viadotti), ad edifici pubblici e privati, a mura ed altre opere
di contenimento (Figura n. 14A). Dopo il 1900 le informazioni
relative alla tipologia di danno si fanno più dettagliate
ed il numero di notizie aumenta, ma l’abbondanza relativa
dei danni prodotti dalle frane non cambia. Nel XX secolo
i dissesti hanno prodotto danni soprattutto alle infrastrutture
di trasporto
(strade, ponti, viadotti, ferrovie), ad edifici (civili,
pubblici, industriali), ad infrastrutture a rete, ed opere
di contenimento
(Figura n. 14C).
Prima del 1900 le inondazioni hanno causato
danni soprattutto alle infrastrutture di trasporto (strade,
ferrovie
e soprattutto ponti), all’agricoltura, ad argini, mulini
ed altre tipologie di edifici (Figura n. 14B). Come per le
frane, anche per le inondazioni a partire dal 1900 è aumentato
il numero e la qualità delle informazioni relative
ai danni. Nel XX secolo le inondazioni in Umbria hanno prodotto
danni prevalentemente alle infrastrutture di trasporto (strade,
ferrovie, ponti, viadotti), ad edifici (privati, pubblici,
industriali),
ad opere idrauliche (argini, dighe, acquedotti, opere di
regimazione), all’agricoltura ed alla zootecnia (Figura
n. 14D).
Nel valutare i danni prodotti da frane e da inondazioni
in Umbria,
interessante è il
fatto che siano relativamente poche le notizie che riportano
danni alla popolazione (morti, dispersi, feriti, senzatetto,
sfollati). Il fatto può avere diverse spiegazioni.
Da un lato, vi è stata in passato – come detto
- una mancanza di sensibilità rispetto ai danni alle
persone. Le cronache cinquecentesche che riportano le notizie
di eventi
con vittime non danno par-ticolare rilevanza al fatto, elencando
le perdite di vite umane fra i tanti e diversi danni subiti.
L’archivio sottostima quindi il numero di eventi di
frana o d’inondazione che hanno causato danni diretti
ed indiretti alla popolazione, come pure il numero totale
di morti, dispersi,
feriti, senzatetto o sfollati. Oltre a ciò, Il numero
contenuto e la distribuzione geografica della popolazione
hanno fatto sì che i danni alla popolazione siano
stati limitati, soprattutto se comparati con quelli subiti
in altre regioni
italiane (Salvati et alii, 2003). Infine, il carattere dei
movimenti franosi, in prevalenza – anche se non esclusivamente – a
cinematica lenta, e delle inondazioni, più frequenti
lungo i fiumi principali e nelle ampie valli intermontane,
hanno contribuito
a limitare gli effetti più catastrofici per la popolazione
dell’Umbria. A partire dal 1900 sono più dettagliate
anche le notizie che riportano danni alle persone. Dalle
notizie riportate soprattutto dai quotidiani locali si è potuto
risalire con una certa precisione sia alla tipologia del
danno che al numero delle persone coinvolte. La Figura n.
15 riporta
il numero delle persone coinvolte da frane (Figura n. 15A)
e da inondazioni (Figura n. 15B). Dai grafici si evince come
le
persone coinvolte in eventi di inondazione siano in numero
maggiore rispetto a quelle colpite dalle frane. Ciò è dovuto
al fatto che le inondazioni colpiscono aree molto più estese
di quelle interessate dai singoli movimenti franosi. Di conseguenza, è più elevato
il numero di persone a rischio da inondazione che a rischio
da frana. In Umbria la tendenza è confermata dal numero
di vittime, più alto per le inondazioni (38) rispetto
alle frane (24).
|
|
Figura
15. Danni diretti ed indiretti causati alla
popolazione dell’Umbria da frane (A)e da inondazioni
(B), nel periodo 1901 - 2001. Le barre indicano il
numero di persone interessate, in scala logaritmica.
|
Tutti i prodotti della ricerca sono disponibili
all’indirizzo
Internet http://sici.irpi.cnr.it/umbria.htm, e fanno parte
del Sistema Informativo sulle Catastrofi Idrogeologiche
del CNR-IRPI.
Accedendo al sito Web è possibile visualizzare, tramite
un WebGIS, la localizzazione geografica
e le informazioni raccolte per le località colpite
da frane e da inondazioni in Umbria. Le località colpite
sono rappresentate da simboli e con colori differenti a seconda
della tipologia d’evento.
SICI fornisce dati ed informazioni sul dissesto idrogeologico,
ed in particolare su frane ed inondazioni storiche avvenute in
Italia. Le informazioni provengono da archivi diversi, alcuni prodotti
e gestiti direttamente dal CNR-IRPI o dal CNR GNDCI, altri messi
a disposizione da altri Enti di ricerca e da Enti locali (Guzzetti
e Tonelli, 2004).
| Riferimenti
bibliografici: |
|
-
Cardinali M., Cipolla F., Guzzetti F., Lolli O.,
Pagliacci S., Reichenbach P., Sebastiani C. & Tonelli G. (1998) Catalogo
delle informazioni sulle località italiane colpite da frane
e da inondazioni. CNR-GNDCI Pubblicazione n. 1799. 2 Volumi.
-
Guzzetti F., Cardinali M. & Reichenbach P. (1994) The AVI Project:
A bibliographical and archive inventory of landslides and floods
in Italy. Environmental Management, Vol. 18, 623-633.
-
Guzzetti F., Cardinali M. & Reichenbach P. (1996) Carta delle
aree colpite da movimenti franosi e da inondazioni. Progetto AVI.
CNR GNDCI n. 1356, Scala 1:1.200.000.
-
Guzzetti F. & Tonelli G. (2004) Information system on hydrological
and geomorphological catastrophes in Italy (SICI): a tool for managing
landslide and flood hazards. Natural Hazards and Earth System Sciences,
Vol. 4:2, 213-232.
-
Reichenbach P., Guzzetti F. & Cardinali M. (1998) Carta delle
aree colpite da movimenti franosi e da inondazioni. Progetto AVI,
2a edizione. Pubblicazione CNR GNDCI n. 1786, Scala 1:1.200.000.
-
Salvati P., Guzzetti F., Reichenbach P., Cardinali
M. & Stark
C.P. (2003) Carta delle frane e delle inondazioni che hanno prodotto
danni alla popolazione. Pubblicazione CNR GNDCI n. 2822, Scala
1:1.200.000.
| Interventi
di sistemazione idraulica nell’area della Cascata
delle Marmore (di Walter Mazzilli): |
|
Nell’area
delle Marmore, per oltre duemila anni, si sono concentrati
gli interventi di
bonifica idraulica per limitare il rischio di inondazioni nella
valle del Velino, per prosciugare le aree paludose e bonificare
i terreni idonei alle coltivazioni ed anche per contenere il
diffondersi della malaria.
Il primo intervento di regolazione
idraulica è opera dei Romani. Secondo la tradizione, il
console Manio Curio Dentato, dopo aver debellato i Sabini nel
290 a.C., intraprende la bonifica della piana reatina e fa scavare
il canale per far precipitare dalla rupe di Marmore nella sottostante
Nera le acque stagnanti del Velino. Da qui ha origine la celebrata
Cascata delle Marmore.
Nel corso del tempo si susseguono diversi
interventi per rendere più efficiente lo spurgo delle
acque.
Dal
1417 al 1422 si realizza un nuovo canale di scarico delle acque
detto Cava reatina perché finanziato dal co-mune di Rieti.
Ma i risultati non sono apprezzabili, tanto che nel 1545 il pontefice
Paolo III Farnese incarica Anto-nio Sangallo il Giovane di progettare
e dirigere lo scavo di un nuovo canale. L’opera è inaugurata
il 20 gennaio del 1947, ma non è in grado di dare soluzione
al problema.
Nel 1596 l’architetto Giovanni Fontana è incaricato
di dirigere un nuovo intervento per la bonifica delle aree di
Marmore, di Piediluco e della valle del Velino. In una relazione
del Fontana, datata 26 giugno 1596, si riferisce che: “Oltre
a detta bonificatione di terreni si verrà a bonificare
l’aere
che al presente fa gran nocimento all’habitanti et in particolare
a Piede Luco che quindici anni sono incirca faceva intorno a
360 fochi, che ora ne fa 120”. I Piedilucani, preoccupati
anche per la stabilità delle abitazioni, caldeggiano l’iniziativa,
come riferisce il notaio Campilio Petrarca, “acciò si
possa il povero rinfrancare, oltre che Piedeluco né per
sentire danno nelle case che sono sotto la strada verso il laco,
che habbino da cascare come si crede” (cfr. Walter Mazzilli,
Indagini n. 67, 1995, p. 40, Terni).
Nel 1597 il cardinale Innocenzo
Malvasia, nel corso della sua visita apostolica, riferisce che
Piediluco “ha territorio molto fertile per la grande abondanza
dell’acque, sebene per l’innondation frequente del
lago Velino si vengono spesso a suffocare i seminati et le biade.
Che se si facesse la cavata delle Marmora, restarebbe quella
terra abondantissima d’ogni cosa, ma maggiormente di grani,
canape e lini. L’aria non è molto salubre per la
sudetta cagione dell’inundatione del Velino. Ma facendosi
la cascata delle Marmora si renderebbe assai manco cattiva” (cfr.
Visite apostoliche, relazione Malvasia, Biblioteca Apostolica
Vaticana, fondo Chigi).
Il cardinale segnala, inoltre, che anche
la pianura ternana subisce danni perché il corso del
fiume Nera è sinuoso e “ne gli avvenimenti straordinari
cagionati da piogge o da nevi si dà occasione a le inondationi
et restagnazioni sopra la detta parte piana, cosa che è di
grave danno ai ternani, i quali desiderano a loro spese drizzar
l’alveo di detto fiume, da un luogo detto Vialo (odierno
quartiere Giardino) sin sotto la chiesa rurale di Sant’Angelo
(odierno quartiere Polymer e Vocabolo Sabbioni). Ma perché in
questo indirizzo si verrebbe a toccar una parte del territorio
di Coldescepoli, et i ternani hanno da molto tempo adietro continuato
diverse risse e liti con quei da Coldescepoli, però questi
si oppongono al desiderio dei ternani, non volendo che si faccia
il detto indirizzo”.
Per quanto concerne il regime idraulico
nella zona di Marmore e Piediluco, nel 1601 si completa l’opera
di ca-nalizzazione di Giovanni Fontana che, senza scavare un
nuovo canale, ritiene più opportuno restaurare e liberare
dal tartaro la Cava Curiana. Pertanto con il ripristino della
piena funzionalità della Cascata delle Marmore viene ridimensionato
il rischio di inondazioni in tutta la valle del Velino. Nondimeno
rimane irrisolta la condizione di precarietà e di rischio
nella sottostante valle del fiume Nera. Infatti la caduta delle
acque provoca l’inondazione dei campi coltivati nei comuni
della bassa Valnerina; mentre l’impaludamento delle acque
favorisce la diffusione della malaria.
Nel 1787 si realizzò un
progetto dell’ing. Andrea Vici per deviare la caduta delle
acque che, precipitando nella sottostante Nera, formava un angolo
retto e causava un tale rigurgito da inondare i terreni di Collestatte
e Torre Orsina.
| Il
catalogo storico dei fenomeni di dissesto della Rupe
di Orvieto e del Colle di Todi. Le fonti della ricerca
e le loro problematiche (di
Adriano Ruggeri ): |
|
Il catalogo storico dei dissesti
che hanno interessato la rupe di Orvieto ed il colle di Todi
costituisce il risultato
di una serie di ricerche realizzate dallo scrivente per conto
dell’ENEA nel corso della prima metà degli anni ‘90.
Tali ricerche sono state condotte con il duplice obiettivo, da
una parte di approfondire le conoscenze già acquisite
e pervenire all’elaborazione di serie storiche quanto più possibile
dettagliate e risalenti indietro nel tempo; dall’altra,
di reperire nuovi dati per ricostruire le caratteristiche e
le modalità degli episodi franosi nell’arco del
lungo periodo, in relazione non solo alla litologia, alla morfologia
dei versanti, al regime delle acque superficiali, all’uso
del suolo, alle caratteristiche insediative dei due centri abitati,
ma anche agli eventi meteorici - in particolare quelli a carattere
eccezionale, a scala locale e non - da inquadrare negli scenari
climatici regionali, col fine di mettere in luce eventuali nessi
causa-effetto all’origine dei fenomeni di instabilità dei
versanti.
I risultati di tali indagini storiche sono confluiti
in una prima relazione generale di sintesi redatta dall’ENEA
per la CEE (1996) 1 ,
e in seguito in un CD-ROM specificatamente relativo ai due centri
di Orvieto e Todi 2
- 1 Si
tratta dei dati elaborati nell’ambito del
progetto europeo ‘MeFISSt’ (Meteorological
Factors Influencing Slope Stability and Slope Movement
Types:
Evaluation of Hazard Prone Areas), il quale - oltre
all’Italia (con i tre siti di Todi, Orvieto
e Civita di Bagnoregio) - ha coinvolto anche Spagna,
Grecia, Germania, Repubblica Ceca e Norvegia, con
l’obiettivo
di ricostruire un quadro generale dei cambiamenti
climatici avvenuti in Europa nel corso dell’ultimo
millennio, dei connessi eventi meteorici a scala
locale e l’influenza
che questi possono aver avuto nelle dinamiche evolutive
dei versanti. Per maggiori particolari: L. ANDRIOLA,
G. DELMONACO, C. MARGOTTINI, S. SERAFINI, A. TROCCIOLA,
Andamenti meteoclimatici ed eventi naturali estremi
in Italia negli ultimi 1000 anni: alcune esperienze
nell’ENEA, in Eventi estremi: previsioni
meteorologiche ed idrogeologia, Atti della XIII
Giornata dell’Ambiente
(Roma, 5 giugno 1995), a cura dell’Accademia
Nazionale dei Lincei, Roma 1996, pp. 95-114, in
particolare pp. 109-112 per i risultati relativi
ai tre centri
citati.
- 2 Le
frane storiche di Todi e Orvieto, CD-ROM a cura di E. MARTINI
(Regione Umbria) e C. MARGOTTINI (Enea-Ca-saccia), 2001. Il
CD-ROM contiene i cataloghi analitici dei dissesti verificatisi
ad Orvieto dal 1139 al 1986, e a Todi dal 1150 al 1995; in
entrambi i casi le informazioni si in?ttiscono man mano che
si procede verso i nostri giorni, in relazione all’aumento
della quantità, qualità e precisione delle fonti.
Essi sono costituiti da una serie di schede (197 per Orvieto;
226 per Todi), ognuna relativa ad una singola informazione
storica, e non necessariamente ad un singolo dissesto, che
può essere invece segnalato da più schede tenuto
conto che alcuni episodi franosi - in particolare a Todi -
si sono manifestati nell’arco del lungo periodo di tempo,
e che per essi sono dunque disponibili più informazioni
che consentono di seguirne l’evoluzione. Ogni scheda è costituita
da una serie di campi relativi a: data (del dissesto, o del
documento, qualora dai contenuti di questo non sia possibile
desumere la data d’occorrenza dell’evento); descrizione
e tipologia del dissesto (crollo, scivolamento, colamento etc.);
dimensioni, caratteristiche e modalità del dissesto,
laddove le fonti consentano di stabilirlo; litologia; danni
provocati su manufatti; effetti morfologici sul territorio;
cause (vere o presunte), quando esplicitamente indicate nelle
fonti, oppure desunte; attivazioni precedenti e riattivazioni
successive di un medesimo dissesto in una stessa località;
fonti utilizzate; note (con osservazioni e chiarimenti in merito
alla cronologia e/o all’ubicazione dei dissesti, nonché agli
interventi realizzati successivamente ai dissesti stessi). |
Per
quanto riguarda Orvieto, in realtà, era già nota
una cronologia dei dissesti dal XII secolo in poi, molto det-tagliata
a partire dalla metà del XIX secolo 3,
cronologia che è stata
ampliata ed integrata con l’aggiunta di nuo-ve informazioni
storiche, in particolare per i secoli XVII, XVIII e prima metà del
XIX.
Diverso il caso di Todi, di cui - al contrario - non si disponeva
di una serie cronologica degli eventi franosi, e dunque tanto
più esemplare di quanto una ricerca analitica possa
contribuire a portare alla luce nuove informazioni: pur essendo
ben noto
l’assetto geologico e morfologico del colle su cui sorge
la città, e gli eventi verificatisi nel secolo appena
trascorso 4,
infatti, prima della ricerca in parola si avevano a disposizione
solamente poche e generiche notizie dei dissesti avvenuti anteriormente
al XX secolo. Le indagini di archivio effettuate hanno invece
consentito di reperire molte e dettagliate informazioni relative
a numerosi e gravi dissesti, di ricostruirne una serie cronologica
molto articolata, dimostrando peraltro che essi sono stati
di portata incomparabilmente superiore a quelli di Orvieto,
sia
per quanto concerne l’estensione delle aree interessate
(interi settori della città - come per esempio le contrade
della ‘Valle’ e della ‘Piana’, rispettivamente
nei versanti occidentale ed orientale del colle di Todi - sono
stati, in tempi diversi e con modalità diverse, coinvolti
nei movimenti o minacciati da molto vicino), sia riguardo ai
tempi (fenomeni spesso di lunga durata, oppure caratterizzati
da continue riattivazioni).
La scelta di focalizzare l’indagine
storica sui due centri abitati di Orvieto e Todi, anziché su
un’area geografica più o meno estesa, oltre all’importanza
che rivestono le problematiche attinenti la conservazione e la
protezione di due siti di così rilevante interesse storico-artistico,
era soprattutto legata alla possibilità di reperire -
per l’uno e per l’altro - un maggior numero di informazioni
rispetto alle zone prive di insediamenti umani. In queste, infatti,
gli eventi meteoclimatici (in particolare proprio i dissesti,
che sono fenomeni il più delle volte estremamente localizzati)
non provocavano ripercussioni ambientali, economiche e sociali
- con tutta la conse-guente serie di risposte, rimedi e provvedimenti
- tali da lasciare traccia nella documentazione scritta.
- 3 P.
TOMMASI, R. RIBACCHI, M. SCIOTTI, Analisi storica
dei dissesti e degli interventi sulla rupe di Orvieto:
un ausi-lio allo studio dell’evoluzione della
stabilità del centro abitato, in “Geologia
Applicata e Idrogeologia”, XXI (1986), pp.
99-153. Per una sintesi più recente v. S.
AMBROSINI, E. MARTINI, Abitato di Orvieto, in Studio
dei centri abitati instabili in Umbria. Atlante regionale,
a cura di G. FELICIONI, E. MARTINI, C. RIBALDI, Soveria
Mannelli 1995, pp. 263-276.
- 4 Cfr.
in generale E. COLUZZI, E. MARTINI, L.
D. VENANTI, Abitato di Todi, in Studio
dei centri abitati instabili in Umbria
cit., pp. 127-136.
|
Ciò premesso,
la ricerca è stata impostata e condotta
su due distinti livelli di approfondimento: uno più genera-le,
che ha comportato la consultazione sistematica della bibliografia
disponibile (comprese le fonti edite) 5,
ai fini di un inquadramento preliminare delle problematiche da
affrontare; ed uno di maggior
dettaglio, consistente in indagini d’archivio che hanno
consentito di reperire documentazione originale ed inedita contenente
numerose ed interessanti informazioni relative ai dissesti. È necessario
infatti sottolineare che la maggior parte di questi fenomeni,
mentre possono non essere menzionati in testi di carattere generale,
sono invece ben documentati nelle cronache e storie locali e
nella documentazione d’archivio.
A questo proposito occorre
però evidenziare sin da ora come una delle maggiori difficoltà di
questo genere di ricerche sia la ‘dispersione’ delle
notizie, se così si può definire, in diversi archivi,
sia centrali, sia periferici, che locali. Compito del ricercatore,
allora, è quello di ricostruire pazientemente il filo
degli eventi rintracciando le informazioni relative ai dissesti
in
documenti conservati in archivi diversi, ma idealmente collegati
tra di loro: una richiesta di sovvenzioni per riparare i danni
provocati da una frana - per esempio - può trovarsi sia
negli archivi locali, tra le ‘delibere’ comunali,
che in quello centrale, frammista a lettere, suppliche, relazioni
e carteggio inerente i più svariati argomenti inoltra-to
dalle comunità alle autorità competenti; allo stesso
modo, i provvedimenti adottati in favore delle comunità richiedenti
possono rinvenirsi sia negli atti emessi dall’autorità centrale,
che nella documentazione ricevuta dalle comunità stesse,
e quindi conservata negli archivi locali.
Pertanto, per individuare
gli archivi nei quali espletare le ricerche è stato necessario
in primo luogo conoscere quali fossero le ripartizioni amministrative
esistenti nel periodo da indagare. Come è ben noto, l’Umbria
ha fatto parte sino al 1860, cioè sino all’Unità d’Italia
(periodo preunitario), dello Stato Pontificio. Più in
particolare, però, mentre Todi era compresa nell’antica
provincia dell’Umbria, Orvieto faceva parte dell’antica
provincia di Patrimonio, diventate rispettivamente - nel nuovo
quadro amministrativo
istituito da Pio VII nel 1816 - le Delegazioni apostoliche di
Perugia e di Viterbo, organi amministrativi periferici di raccordo
tra la capitale e le comunità; fu solamente nel 1831 che
Orvieto è diventata sede di Delegazione autonoma. Con
la riforma del cardinal Antonelli del 1850 furono istituite la
Legazione dell’Umbria - comprendente le Delegazioni di
Perugia (e quindi Todi), Spoleto e Rieti - ed il Circondario
di Roma, cui fu aggregata, tra le altre, anche la Delegazione
di Orvieto, che tuttavia è stata annessa al Regno Italiano
nel 1860, insieme con i territori umbri (mentre il resto del
Lazio è stato annesso nel 1870). Dopo il 1870 sia Todi
che Orvieto, distaccata dal Circondario romano, risultano comprese
nella Provincia di Perugia, l’unica esistente nell’Umbria;
nel 1927 - infine - Orvieto è stata aggregata alla Provincia
di Terni istituita in quello stesso anno.
- 5 Ossia
le cronache medievali e cinquecentesche relative
ai due centri abitati: quelle orvietane, incluse
in Rerum italicarum scriptores, voll. XV/V 1 (Città di
Castello 1902-1920) e 2 (Bologna 1922-1929), e
la Cronaca todina di Ioan Fabrizio degli Atti,
in Le cronache di Todi (secoli XIII-XVI), a cura
di G. ITALIANI, C. LEONARDI, F. MANCINI, E. MENESTÒ,
C. SANTINI, G. SCENTONI, Firenze 1979.
|
Tenuto
conto di quanto sopra brevemente schematizzato, gli archivi
nei quali è stata svolta la ricerca (restringendo
il discorso a quelli prettamente ‘storici’, tralasciando
cioè quelli più decisamente ‘attuali’ quali
- per esempio - gli uffici provinciali del Genio Civile) sono
stati i seguenti:
|
|
a
livello centrale: l’Archivio
di Stato di Roma, che - in linea generale - può essere
considerato l’archivio centra-le dello Stato Pontificio
inteso nella sua accezione temporale e territoriale, ed
in cui si conserva la documentazione prodotta dai dicasteri
centrali (Congregazioni, Presidenze, Ministeri), ciascuno
connotato da differenti e ben precise attribuzioni e prerogative;
|
|
|
a
livello periferico (ossia nel ‘gradino’ intermedio
tra la capitale e le comunità locali): gli Archivi
di Stato di Perugia, di Terni e la sezione di Archivio
di Stato di Orvieto 6;
|
|
|
a livello locale: gli archivi storico-comunali
di Orvieto (conservato nella sezione di cui sopra) e di
Todi.
|
- 6 Le
sezioni di Archivio di Stato hanno sede in città che
non sono capoluogo di provincia ma che spesso hanno
rivestito un ruolo rilevante dal punto di vista storico
ed amministrativo.
|
Non è ovviamente
possibile, in questa sede, descrivere una per una le caratteristiche
di tutte le fonti consultate;
ma per alcune di esse - che più di altre si sono rivelate
importanti ai fini della ricerca - occorre almeno un breve cenno.
Tra
le fonti conservate nell’Archivio di Stato di Roma si segnala
la Congregazione del Buon Governo, in particolare la serie II,
che raccoglie la documentazione proveniente da tutte le comunità dello
Stato Pontificio. Istituita nel 1592 dal papa Clemente VIII (e
con documentazione abbondante sino agli anni ‘30 del XIX
secolo), essa si occupava dell’amministrazione locale e
aveva giurisdizione e competenza sugli affari economici delle
comunità; ad essa spettavano pertanto, tra le altre attribuzioni,
l’approvazione dei bilanci comunali (le cosiddette ‘tabelle’),
il controllo dell’amministrazione comunale in materia di
imposte e - per quanto ci riguarda più da vicino - la
vigilanza sul corretto impiego delle finanze comunali nelle diverse
spese occorrenti, per le quali era sempre e comunque necessaria
la superiore approvazione ed autorizzazione 7.
Sempre all’Archivio
di Stato di Roma è conservato il Catasto Gregoriano, il
primo catasto geometrico-particellare (ossia provvisto di mappe
con la raffigurazione grafica ridotta in scala delle proprietà fondiarie)
elevato in modo omogeneo per tutto lo Stato Pontificio alla scala
1:2000, adottando il sistema metrico decimale; ordinato nel 1816
da Pio VII, e materialmente realizzato tra il 1818 ed il 1821,
esso andò in vigore solamente nel 1835 sotto il pontificato
di Gregorio XVI, da cui ha tratto la propria denominazione 8.
All’Archivio
di Stato di Perugia, invece, si segnala il fondo del Genio Civile
di Perugia, con documentazione dal 1860 al 1945 contenente -
per quanto riguarda Todi, dove dopo il 1870 il governo italiano
si trovò ad ereditare da quello pontificio una mole ingente
di lavori già intrapresi e che dovevano essere condotti
a termine - relazioni dei danni provocati dai dissesti, progetti
dei lavori ed interventi di vario tipo, carteggio tra i diversi
soggetti coinvolti nei lavori di risanamento idrogeologico e
consolidamento del colle di Todi: impresari che eseguivano i
lavori, Comune, Provincia, Prefettura, Genio Civi-le, Ministero
per i Lavori Pubblici, e “Commissione per i lavori di riparazione
delle ruine di Todi”, appositamente istituita nel 1858.
- 7 Su
questo importantissimo fondo archivistico si veda
E. LODOLINI (a cura di), L’archivio della S.
Congregazione del Buon Governo (1592-1847). Inventario,
(Pubblicazioni degli Archivi di Stato - XX), Roma
1956, Introduzione, pp. IX-CLXXVI.
- 8 Per
maggior approfondimenti: V. VITA SPAGNUOLO,
I catasti generali dello Stato Ponti?cio,
Roma 1995, pp. 46-101.
|
La fonte
nella quale si è rinvenuta la maggior quantità di
informazioni - in particolare per i secoli XVII e XVIII - è stata
la Congregazione del Buon Governo.
In seguito ad un qualsiasi
evento meteoclimatico fuori del normale, infatti, e ai conseguenti
possibili dissesti del suolo o danni ai manufatti che ne
potevano derivare, le comunità informavano dettagliatamente
la Congregazione al fine di ottenere la licenza di spesa per
eseguire
le necessarie riparazioni, per le quali si potevano utilizzare
eventuali somme messe ‘in tabella’ tra le spese
impreviste o parte degli introiti comunali, oppure si poteva
ricorrere
all’imposizione di una colletta su tutti i cittadini,
laici ed ecclesiastici. Nel caso di spese ingenti, le comunità arrivavano
a chiedere dei contributi, oggi diremmo ‘statali’,
che - qualora accordati - si sostanziavano o con vere e
proprie concessioni di somme una tantum (molto rare), o col
condono di
debiti maturati con la Camera Apostolica, infine - il più delle
volte - tramite sgravi fiscali, ossia defalcando di una certa
quantità l’importo totale di determinate gabelle
dovute dalle comunità alla Camera stessa.
Più in
particolare, la documentazione contiene: lettere e suppliche
delle comunità contenenti descrizioni dello stato
in cui si trovavano alcune zone e/o manufatti interessati
dai dissesti;
relazioni dei danni causati dalle piogge e/o dai franamenti;
perizie e progetti per lavori di riparazione di manufatti,
realizzazione di nuove opere di difesa, sistemazione idraulico-forestale
dei
fossi che in senso radiale incidono i rilievi su cui sorgono
le due città; stime delle spese necessarie per la
realizzazione dei lavori stessi. Il tutto spesso corredato
di piante, disegni,
profili, sezioni, molto utili per conoscere più in
dettaglio alcuni episodi, in particolare la loro ubicazione.
Particolarmente
interessanti sono le relazioni, che si susseguono con una
certa regolarità, soprattutto per quanto concerne Todi,
redatte da ‘periti’, architetti ed ingegneri: non
si tratta solo di nomi locali (semplici ‘capomastri’ muratori
incaricati di limitati lavori di riparazione), ma spesso
anche di personaggi del calibro di Francesco Sforzini ‘architetto
della Camera Apostolica per le Chiane’ (1638-1711),
di Virginio Bracci (1737-1815) e di suo figlio Pietro ‘architetto
della Congregazione del Buon Governo’ (ancora attivo
nel 1836), dell’architetto Pietro Camporesi il vecchio
(1726-1781), di Pietro Ferrari ‘Architetto della Camera
Apostolica’,
noto anche per un progetto di prosciugamento del Lago del
Fucino (1762-1825), di Andrea Vici ‘Ingegnere capo
dei ponti e delle strade’, che partecipò - tra
gli altri - ad alcuni lavori alle Marmore e alla bonifica
pontina intrapresa
da Pio VI (1743-1817) 9.
Nell’arco di più di un
secolo (dalla metà del ‘700 sin’oltre
la seconda metà dell’800), queste relazioni
costituiscono un bell’esempio di ricostruzione del
processo evolutivo delle conoscenze scientifiche relative
ad uno specifico problema,
nel nostro caso le cause dei dissesti idrogeologici ed i
rimedi per evitarli, o limitarne la portata.
- 9 Per
questi tre (Bracci, Camporesi, Ferrari) si vedano,
rispettivamente: Dizionario Biografico degli
Italiani, vol. XIII, 1971, pp. 626-627; vol.
XVII, 1974,
pp. 589-590; vol. XLVI, 1996, pp. 650-652.
|
Altra
documentazione interessante è costituita dagli editti
promulgati in sede sia locale (per entrambe le città questi
si rifacevano alle norme statutarie medievali) che centrale,
con l’intento
di regolamentare il corretto uso dei suoli e la regimazione
delle acque di scolo, oppure - è il caso di Orvieto
- di disciplinare l’attività estrattiva nella
rupe tufacea per prevenire possibili crolli. Si possono
segnalare, a questo proposito, l’editto sulle ‘ripe’,
rupe e mura della città emanato direttamente dal
pontefice Urbano VIII nel 1632, oppure quello del 1754
pubblicato dal
Governatore E. Filangieri.
Anche a Todi, più volte nel
corso del XIX secolo (1815, 1827, 1828, 1841, 1858) le
magistrature locali sono in-tervenute imponendo, con editti
e notificazioni,
il divieto assoluto di coltivazione nelle zone ritenute
più a
rischio nei pendii intorno alla città; bisogna dire
che molto spesso tali prescrizioni erano disattese dai
pro-prietari dei terreni, e quindi poco efficaci.
Una volta individuati gli
archivi e la tipologia di documentazione in essi contenuta,
il passo successivo è consistito nella collazione
dei più disparati dati provenienti da fonti diverse
e nella loro elaborazione critica, al fine di fornire una
descrizione
il più possibile attendibile dei fenomeni di dissesto
che hanno interessato le due città, e di ricostruirne
il catalogo storico degli eventi.
In questa fase della ricerca
la difficoltà principale è costituita dalla
corretta interpretazione dei contenuti delle fonti. Se
infatti il problema
non si pone - almeno entro certi limiti - per la documentazione
recente, diverso il caso per quella un po’ più vecchia:
le fonti preunitarie, ma anche quelle postunitarie sino
a tutto il XIX secolo, devono essere investigate con attenzione
per
cercare di comprenderne i contenuti e valutarne criticamente
la qualità e l’attendibilità; diciamo
che in un certo senso devono essere ‘interpretate’,
senza che con questo lavoro di esegesi le si costringa
a dire di più di ciò che realmente dicono.
Le problematiche
sono diverse, e qui si possono fare solo alcuni esempi.
In primo
luogo la terminologia utilizzata nella documentazione,
in effetti uno dei problemi maggiori della ricerca. A parte
il
continuo confronto con un lessico ed una fraseologia sensibilmente
differenti da quelli attuali, si è reso necessario
conoscere il preciso significato dei termini ‘tecnici’ utilizzati
nelle fonti (cioè: dai periti, dagli architetti,
dagli ingegneri) per attualizzare l’informazione
storica e dare un significato quanto più possibile
chiaro e scientificamente corretto alle notizie in esse
contenute ai fini della comprensione
dei fenomeni descritti.
Abbiamo dunque tutta una serie di termini
utilizzati per indicare i diversi tipi di dissesto: ‘lavina’, ‘greppa’, ‘smanco’, ‘liscia’, ‘cretta’; ‘lama’ (con
tutti i possibili derivati: ‘dilamazione’, ‘dilamamento’, ‘slamatura’, ‘slamamento’),
termine - quest’ultimo - che a seconda del contesto
indicava sia il dissesto vero e proprio, che il corpo di
frana. Per
quanto riguarda la litologia, il ‘cretone’ indica
i terreni argillosi del colle di Todi, mentre il ‘sasso’ ed
il ‘masso’ si riferiscono alle formazioni tufacee
litoidi di Orvieto, dove peraltro era avvertita l’esigenza
di distinguere tra la ‘rupe’, ossia - nel complesso
- tutto il rilievo su cui sorge la città, e le ‘ripe’,
le scarpate e le pareti verticali che delimitano la rupe.
Non si può infine non ricordare che gli interventi
nei versanti e nei fossi (palificate/passonate/incannucciate,
rimboschimenti,
mantellatura con zolle erbose), erano indicati - almeno
nel XIX secolo - come ‘lavori verdi’.
Altro problema
di non poco conto è quello relativo alla definizione
della data di occorrenza e alla precisa ubi-cazione dei
dissesti, ed in ciò molto spesso le fonti sono vaghe
e generiche.
Le
date non sono quasi mai indicate in modo completo (a meno di
manifestazioni improvvise e/o di una certa gravità),
ed il più delle volte ci si deve accontentare del mese,
della stagione (“nel passato inverno ...”, “ a
causa delle piogge della scorsa estate ...”), dell’anno
o di riferimenti cronologici ancora più generici (“negli
anni passati ...”).
Per quanto riguarda invece l’ubicazione
dei dissesti, è di fondamentale importanza conoscere
i toponimi sei-otto-centeschi, alcuni dei quali non sono
più riportati
nelle moderne Tavolette IGM o nei fogli del NCT, che dunque
si dimostrano del tutto insufficienti ai fini dell’indagine
topografica. Di qui il ricorso alla cartografia storica
e alle mappe del Catasto Gregoriano sopra ricordato, che
si è rivelato
essere un efficace strumento d’indagine. La scala
estremamente dettagliata alla quale esso è stato
elevato (1:2000), unita al fatto che nei registri relativi
a ciascuna singola
mappa (‘brogliardi’), per ogni particella sono
indicati - oltre alla natura delle coltivazioni - anche
i proprietari dei terreni, ha consentito non solo, in generale,
di ritrovare molti di quei toponimi menzionati nelle fonti
che non figurano nella cartografia attuale; ma anche di
conoscere l’ubicazione di alcuni dissesti verificatisi
nei primi decenni del XIX secolo, per i quali si aveva
solo
l’indicazione
generica della località e il nome del proprietario
del fondo dove essi si erano verificati, fondo che - grazie
alle
mappe catastali - è stato possibile individuare
con estrema precisione.
Tutta la documentazione sin qui analizzata, ha dunque permesso
di ricostruire - in alcuni casi con sufficiente precisione
- l’occorrenza di numerosi dissesti del XVIII e XIX
secolo (data, ubicazione, cause reali o presunte, caratteristiche
e dimensioni del fenomeno, danni) e, a volte, di seguire
nei
minimi dettagli l’andamento di tutta la vicenda,
dal danno arrecato al collaudo dei lavori di riparazione
ed interventi
eseguiti.
A proposito delle tipologie dei dissesti e delle
cause che li hanno determinati, vorremmo concludere questa
breve
disamina con alcune osservazioni.
L’esame analitico
delle fonti evidenzia che le tipologie dei dissesti del
passato sono
state del tutto analoghe a quelle che ancora oggi caratterizzano
le due città, in relazione alle rispettive litologie:
|
|
franamenti
e crolli di blocchi dalle pareti e dai costoni
tufacei, o anche semplici distacchi di blocchi
più o meno già isolati dalle retrostanti
pareti; oppure scivolamenti più o
meno superficiali sul pendio argilloso e/o
soprastante
copertura detritica, ad Orvieto; |
|
|
frane
con movimento rotazionale, scoscendimenti
e colamenti nelle formazioni argillose, a Todi,
in relazione
anche all’acclività dei versanti;
coi loro movimenti, inoltre, le argille hanno
talvolta innescato dissesti anche nella sovrastante
formazione ghiaiosa, scalzata alla base,
provocando locali fenomeni di crollo; |
|
|
attiva
incisione dei fossi lungo le pendici di
entrambi i rilievi su cui sorgono le due città,
con tutti i connessi fenomeni erosivi, che ha
comportato un continuo approfondimento degli
alvei ed un progressivo arretramento delle testate
verso monte, in direzione della base della rupe
(Orvieto) o delle mura della città (Todi) |
Allo stesso modo, per quanto riguarda
le cause (a parte quelle naturali, quali le piogge intense),
la
ricerca ha messo chiaramente in luce, nell’innesco
dei movimenti franosi, il ruolo determinante giocato dalle
acque
reflue urbane le quali, smaltite da una rete fognante sub-superficiale
non sempre funzionale, mediante sbocchi ubicati nei versanti
ai piedi delle mura (‘Bottino di Porta Maggiore’ e ‘Chiavica
di Porta Pertusa’ ad Orvieto; diversi cunicoli etruschi,
a Todi) o addirittura nella parte sommitale delle mura
stesse (‘Caditoio della Rocca’ ad Orvieto; ‘Scivolone
delle Cento Scale’, a Todi), defluivano - nel secondo
caso da notevole altezza - direttamente nei fossi che incidono
i versanti argillosi di entrambi i centri abitati, concorrendo
ad intensificare l’azione erosiva naturale esplicata
dai fossi stessi.
|